选课中心
7099人选课
GRE公开讲座
0元
GMAT公开讲座
0元
一对一体验课
99元
GRE模考网站
10000人
托福TPO模考网站HOT
39209人预约
GRE辅导课程
17537 人
GMAT辅导课程
17537 人
托福辅导课程
17537 人
【定制】1v1
私人订制
资料下载
考前冲刺
扫码关注掌握一手留学资讯
回复XDF免费领
水平测试和备考资料
扫码关注公众号
本文是新东方在线为广大考生整理的新GRE数学经典例题,希望帮助大家解决GRE考试难题,取得好的成绩。
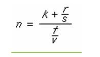
1. In the equation above, k, r, s, t, and v represent positive numbers. Multiplying which one of these numbers by 2 will reduce the value of n to 1/2 of its present value?

A. k B. r C.s D. t E. v
2. A certain money market account that had a balance of $48,000 during all of last month earned $360 in interest for the month. At what simple annual interest rate did the account earn interest last month?
A. 7% B.7.5% C.8% D.8.5% E.9%
3. Column A: The two-digit integer that equals twice the sum of its digits
Column B: 16
4. A car travels at an average speed of 80 kilometers per hour during a 6 - hour trip and averages 75 kilometers per hour for the first 4 hours of the trip. Which of the following distance-versus-time graphs is consistent with this information?

5. The number of households receiving monthly benefits in 1960 was approximately what fraction of the number receiving monthly benefits in 1975?
A. 9/10 B.5/6 C.16/27 D.11/32 E.8/35
6. When the even integer n is divided by 7, the remainder is 3.
Column A: The remainder when n is divided by 14
Column B : 10
answer: C
7. The “combined age” of a group of people is the sum of the ages of all the people in the group. Which of the following groups had the greatest combined age in 1986?

A. 20-year-old males B. 20-year-old females
C. 60- year-old males D. 60-year-old females
E. 80-year-old females
8. Approximately how many more 10-year-old children were there in 1980 than in 1986?
A. 100,000 B.200,000 C.300,000 D. 400,000 E.1,000,000
9. The population of females was greater in 1980 than in 1986 for approximately what percent of the ages from 0 to 100 years?
A. 15% B.25% C.55% D.75% E.85%
10. In 1980 the ratio of the number of males to the number of females was greatest for which of the following ages?
A. 10 B. 30 C.50 D.70 E.90
小编为大家解析了GRE数学典型例题,考生们平时备考要认真、仔细,这是做数学题最基本的要求,否则就算知识再扎实,也会因为粗心丢分,到时候悔不当初,已经没有挽救的余地了。
资料下载
2024中国学生留学备考白皮书下载
发布时间:2024-05-20添加新东方在线美研助教号
回复【资料】获取
GRE高频真词表资料下载
发布时间:2024-05-20添加新东方在线美研助教号
回复【资料】获取
GRE数学-OG官方150题资料下载
发布时间:2024-05-20添加新东方在线美研助教号
回复【资料】获取
GRE数学常用词汇资料下载
发布时间:2024-05-20添加新东方在线美研助教号
回复【资料】获取
2024GRE数学重点突破资料下载
发布时间:2024-05-20添加新东方在线美研助教号
回复【资料】获取
2024GMAT模考题&答案资料下载
发布时间:2024-05-20添加新东方在线美研助教号
回复【资料】获取
GRE&GMAT阅读难句教程资料下载
发布时间:2024-05-20添加新东方在线美研助教号
回复【资料】获取
2024年托福考试重点题目资料下载
发布时间:2024-05-20添加新东方在线美研助教号
回复【资料】获取
托福独立口语必练70题资料下载
发布时间:2024-05-20关注新东方在线美研订阅号
回复【GRE】获取
托福口语综合口语精听50题节选资料下载
发布时间:2024-05-20添加新东方在线美研助教号
回复【资料】获取
托福听力1200词资料下载
发布时间:2024-05-20添加新东方在线美研助教号
回复【资料】获取
托福写作综合写作练习册-听力精听25篇资...
发布时间:2024-05-20添加新东方在线美研助教号
回复【资料】获取
托福写作综合写作练习册-阅读改写50篇资...
发布时间:2024-05-20添加新东方在线美研助教号
回复【资料】获取
托福阅读核心词表1500词(前30天优先必学...
发布时间:2024-05-20添加新东方在线美研助教号
回复【资料】获取
添加美研助教号,
回复【GRE】获取备考必看资料包

推荐阅读
大家在备考GRE数学时对指数题肯定不陌生,一般来说,只要能够熟练掌握指数的运算规则就能应对大部分的题目,本文为大家介绍GRE数学考试中的指数题,希望对大家备考有所帮助!
大家在备考GRE数学时对指数题肯定不陌生,一般来说,只要能够熟练掌握指数的运算规则就能应对大部分的题目,本文为大家介绍GRE数学考试中的指数题,希望对大家备考有所帮助!
本文为大家整理了在GRE数学考试中容易犯的低级错误,各位准备考GRE的同学们赶紧收藏起来吧!
本文为大家整理了在GRE数学考试中容易犯的低级错误,各位准备考GRE的同学们赶紧收藏起来吧!
本文为大家整理了在GRE数学考试中容易犯的低级错误,各位准备考GRE的同学们赶紧收藏起来吧!
本文为大家整理了在GRE数学考试中容易犯的低级错误,各位准备考GRE的同学们赶紧收藏起来吧!
新版GRE推出后,数学部分时不时出现一些让考生“眼前一亮”的新颖题目,再加上题目数量减少,容错率降低,想要拿到GRE数学满分越来越难了。面对这种境况,各位GRE考生该如何应对呢?快来和新东方在线GRE一起看看吧!
ETS在其官网更新了一套新版考试免费样题(PPO for the shorter GRE),快来和新东方在线GRE一起看看新版GRE数学答题技巧相关信息吧!
干货!GRE数学备考建议指导来啦,来本文和新东方在线GRE一起来看看详细信息。
GRE数学超全公式汇总来啦,来和新东方在线GRE网一起来看看关于GRE数学公式汇总吧。
GRE录播课(全科班/单项班)
GMAT6-8人直播VIP小班
托福直播精讲班(30天/60天)
添加美研助教号,
回复【GRE】获取备考必看资料包

资料下载
添加新东方在线美研助教号
回复【资料】获取
添加新东方在线美研助教号
回复【资料】获取
添加新东方在线美研助教号
回复【资料】获取
添加新东方在线美研助教号
回复【资料】获取
添加新东方在线美研助教号
回复【资料】获取
添加新东方在线美研助教号
回复【资料】获取
添加新东方在线美研助教号
回复【资料】获取
添加新东方在线美研助教号
回复【资料】获取
关注新东方在线美研订阅号
回复【GRE】获取
添加新东方在线美研助教号
回复【资料】获取
添加新东方在线美研助教号
回复【资料】获取
添加新东方在线美研助教号
回复【资料】获取
添加新东方在线美研助教号
回复【资料】获取
添加新东方在线美研助教号
回复【资料】获取
阅读排行榜
相关内容